
中国科学院上海光学精密机械研究所(简称:上海光机所)成立于1964年5月,是我国建立最早、规模最大的激光科学技术专业研究所。发展至今,已形成以探索现代光学重大基础及应用基础前沿、发展大型激光工程技术并开拓激光与光电子高技术应用为重点的综合性研究所。研究...
中国科学院上海光学精密机械研究所(简称:上海光机所)是我国建立最早、规模最大的激光专业研究所,成立于1964年,现已发展成为以探索现代光学重大基础及应用基础前沿研究、发展大型激光工程技术并开拓激光与光电子高技术应用为重点的综合性研究所。重...
上海光机所国际合作工作始终围绕上海光机所的主责主业,以服务重大任务和国家需求为牵引,强化目标导向,注重内外集成协同,加强重大国际合作任务的谋划。坚持“战略布局,需求牵引,技术引领,合作共赢”的原则,基于科技部授予的国家国际科技合作基地及本单位学科技术优势,围绕“一带一路”国家倡议,深化拓展与发达国家实质性合作,夯实海外机构建设,积极培育和发起国际大科学计划,加强国际组织任职推荐,组织相关国际会议等,汇聚各类国际人才,建立以“平台-人才-项目-组织”合作模式,融入全球创新合作网络,助力上海光机所成为国际一流科研机构。上海光机所国际合作一直得到所领导的高度重视,历届所长亲自主管国际合作。1972年,上海光机所接待诺贝尔奖的美籍华裔科学家杨振宁,标志着我所第一次对外开放。2007年,被科技部首批授予“科技部国际科技合作基地”。2016年,科技部首次对全国2006-2008年间认定的113家国际合作基地进行了评估,上海光机所获评“优秀”。2021年,科技部首次对全国719家国际合作基地进行了评估,上海光机所持续获评“ 优秀”。王岐山副主席到上海光机所视察时,对上海光机所近几年取得的系列科技成果,以及重大国际合作项目“中以高功...
作为我国建立最早、规模最大的激光科学技术专业研究所,和首批上海市科普教育基地之一,中国科学院上海光学精密机械研究所(简称:上海光机所)在致力于科技创新的同时,十分重视科普工作。多年来,上海光机所借助科研院所强大的科普资源优势,围绕光学与激光科学技术,积极开展公众开放日、科普讲座、科技课堂、科普作品创...
超强激光科学卓越创新简报
(第七百二十期)
2025年10月28日
上海光机所在纳米叠层薄膜界面缺陷研究方面取得新进展
近期,中国科学院上海光学精密机械研究所高功率激光元件技术与工程部在纳米叠层薄膜界面缺陷研究方面取得新进展,相关研究成果以“Reduction of interface defects in Al2O3/HfO2 nanolaminates using ultrathin SiO2 interlayers grown via plasma-enhanced atomic layer deposition”为题发表于Optics Express。
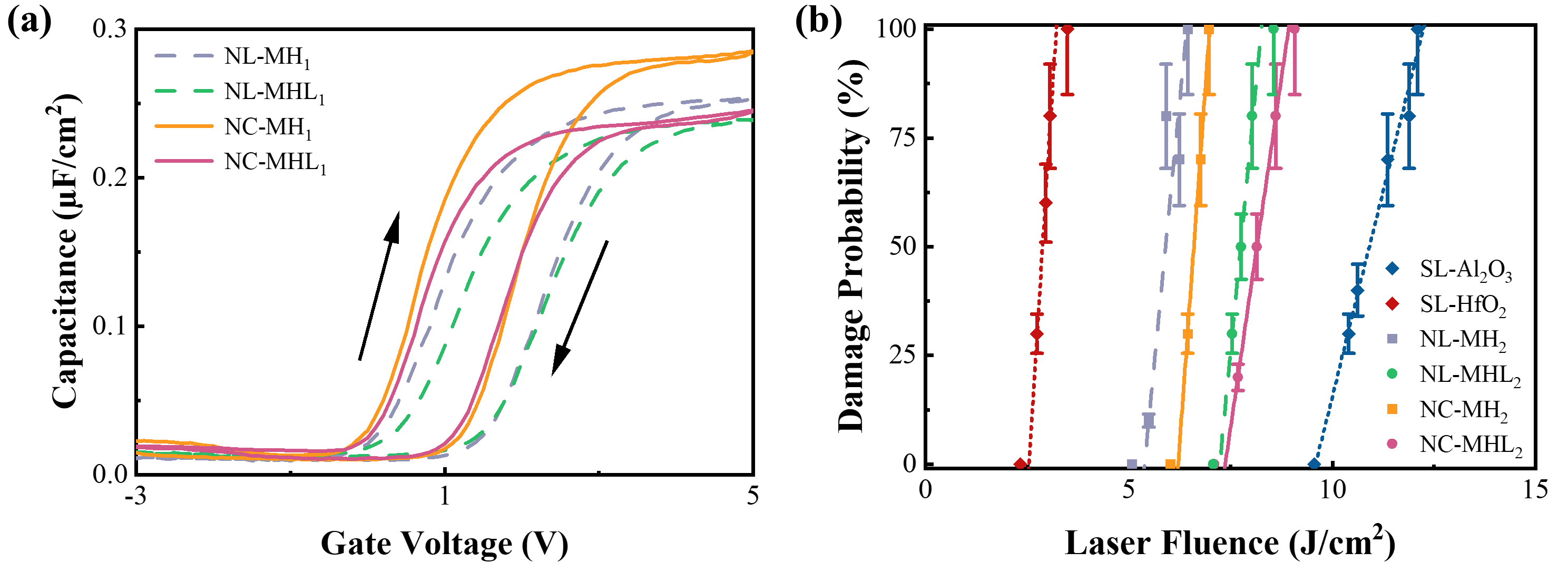
具有可调折射率和光学带隙的纳米叠层材料能够适应更复杂的膜系设计需求,有利于制备高性能激光薄膜。Al2O3/HfO2纳米叠层薄膜具有比Al2O3薄膜更高的折射率和比HfO2薄膜更宽的光学带隙,能够提升多层激光薄膜的性能。此前的研究中,研究人员发现原子层沉积Al2O3/HfO2纳米叠层的Al2O3-on-HfO2界面存在界面缺陷较多和结合力较差等问题[ACS Applied Materials & Interfaces, 16, 31756–31767 (2024)]。而在光学薄膜的制备中,不可避免地存在大量的Al2O3-on-HfO2界面,界面数量的大幅增加带来额外的吸收容易导致薄膜激光损伤性能的降低。
为了缓解界面数大幅增多带来的负面作用,同时保持其他性能,研究团队提出在Al2O3-on-HfO2界面处加入超薄的SiO2层来减少界面缺陷的策略。在子层厚度不同的两组Al2O3/HfO2薄膜的Al2O3-on-HfO2界面加入超薄的SiO2层,对界面缺陷、光学性能和激光损伤性能进行了测试和比较。结果表明,添加SiO2超薄层能够降低叠层薄膜的界面缺陷密度,提高激光诱导损伤阈值(LIDT)并减轻热效应损伤,同时对折射率等性能影响较小。将这种Al2O3–HfO2–SiO2纳米复合材料替代HfO2材料作为高折射率层制备激光分束薄膜,LIDT可提高至1.5倍。这种添加超薄SiO2层的策略可能同样适用于其他具有高密度界面缺陷的纳米叠层材料,有助于减少缺陷并提高相应高功率激光薄膜的性能。
相关研究得到了上海市优秀学术带头人项目、中国科学院稳定支持基础研究领域青年团队计划、上海领军人才项目以及国家自然科学基金的支持。

图 1:Al2O3/HfO2纳米叠层薄膜添加SiO2超薄层前后的(a)电容–电压曲线;(b)激光损伤概率曲线

图 2:(a)激光分束薄膜结构模型;(b)激光损伤概率曲线
copyright
2000-
中国科学院上海光学精密机械研究所 沪ICP备05015387号-1
主办:中国科学院上海光学精密机械研究所 上海市嘉定区清河路390号(201800)
转载本站信息,请注明信息来源和链接。
沪公网安备
31011402010030号

