
中国科学院上海光学精密机械研究所(简称:上海光机所)成立于1964年5月,是我国建立最早、规模最大的激光科学技术专业研究所。发展至今,已形成以探索现代光学重大基础及应用基础前沿、发展大型激光工程技术并开拓激光与光电子高技术应用为重点的综合性研究所。研究...
中国科学院上海光学精密机械研究所(简称:上海光机所)是我国建立最早、规模最大的激光专业研究所,成立于1964年,现已发展成为以探索现代光学重大基础及应用基础前沿研究、发展大型激光工程技术并开拓激光与光电子高技术应用为重点的综合性研究所。重...
上海光机所国际合作工作始终围绕上海光机所的主责主业,以服务重大任务和国家需求为牵引,强化目标导向,注重内外集成协同,加强重大国际合作任务的谋划。坚持“战略布局,需求牵引,技术引领,合作共赢”的原则,基于科技部授予的国家国际科技合作基地及本单位学科技术优势,围绕“一带一路”国家倡议,深化拓展与发达国家实质性合作,夯实海外机构建设,积极培育和发起国际大科学计划,加强国际组织任职推荐,组织相关国际会议等,汇聚各类国际人才,建立以“平台-人才-项目-组织”合作模式,融入全球创新合作网络,助力上海光机所成为国际一流科研机构。上海光机所国际合作一直得到所领导的高度重视,历届所长亲自主管国际合作。1972年,上海光机所接待诺贝尔奖的美籍华裔科学家杨振宁,标志着我所第一次对外开放。2007年,被科技部首批授予“科技部国际科技合作基地”。2016年,科技部首次对全国2006-2008年间认定的113家国际合作基地进行了评估,上海光机所获评“优秀”。2021年,科技部首次对全国719家国际合作基地进行了评估,上海光机所持续获评“ 优秀”。王岐山副主席到上海光机所视察时,对上海光机所近几年取得的系列科技成果,以及重大国际合作项目“中以高功...
作为我国建立最早、规模最大的激光科学技术专业研究所,和首批上海市科普教育基地之一,中国科学院上海光学精密机械研究所(简称:上海光机所)在致力于科技创新的同时,十分重视科普工作。多年来,上海光机所借助科研院所强大的科普资源优势,围绕光学与激光科学技术,积极开展公众开放日、科普讲座、科技课堂、科普作品创...
超强激光科学卓越创新简报
(第七百十五期)
2025年10月20日
上海光机所在硼硅、硼钨共掺金刚石的制备与性能研究方面取得新进展
近期,中国科学院上海光学精密机械研究所先进激光与光电功能材料部激光晶体研究中心在硼硅共掺和硼钨共掺金刚石的制备与性能研究方面取得新进展,相关研究成果分别以“Unusual electrochemical properties of boron and silicon co-doped diamond electrodes”和“Impact of tungsten doping on the physicochemical properties of boron-doped diamond electrodes”为题发表于Surfaces and Interfaces。
掺硼金刚石电极具有优异的物理化学性能,已在多个领域实现广泛应用。硅、钨作为金刚石中常见的杂质元素,在某些金刚石的生长过程中会不可避免的被引入金刚石晶格中。因此,阐明这些杂质共掺的影响规律和作用机理对于提升掺硼金刚石电极性能具有重要意义。
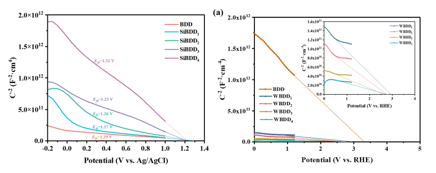
研究团队通过优化设计掺杂气路,实现了硼硅、硼钨共掺金刚石电极的可控制备,并研究了其对电极性能的影响规律。实验结果显示,硅共掺可以降低掺硼金刚石电极表面含氧官能团的含量,从而促进内球电子转移。另一方面,硅共掺也引入了额外的缺陷能级,降低了电极的载流子密度,导致外球电子转移速率的降低。此外,随着生长过程中硅浓度的提升,金刚石电极中出现碳化硅相,电极性能显著下降。而钨共掺对掺硼金刚石电极的内球电子转移产生了不利影响,同时也引入了显著的应力和额外的能级,使金刚石带隙变窄,促进了外球电子转移。该研究为新型金刚石电极的设计提供了参考。
相关工作得到国家自然科学基金的支持。


图1 不同样品的循环伏安曲线

图2 不同样品的Mott- Schottky曲线
copyright
2000-
中国科学院上海光学精密机械研究所 沪ICP备05015387号-1
主办:中国科学院上海光学精密机械研究所 上海市嘉定区清河路390号(201800)
转载本站信息,请注明信息来源和链接。
沪公网安备
31011402010030号

